AUD/USD
Re: AUD/USD
По паре австралиец доллар вчера наблюдалось снижение и пара пробила уровень недельной поддержки 0.9376 и снижение продолжила и сейчас пара находиться в цене 09372 и по индикатору rsi дивергенция появилась красная толчка и это означает что пара будет снесение продолжать и опуститься к уровню поддержки 0.9360 и даже ниже к 0.9348.
AUD/USD
Валютная пара AUD/USD в данный момент консолидируется вблизи важной ценовой отметки. Такое состояние инструмента характерно либо при флете, либо при смене тренда. Расстояние до разворотного арбитражного уровня - 11пп. Ценовая отметка 0.9390 определяет вектор дальнейшего движения пары. Пробитие диапазона будет подтверждающим сигналом при открытии позиций.
AUD/USD
По ауди имеем зону межсессионного флета 0,9360-0,9394, диапазон средней величины. Не смотря на пробой защитного пивота 0,9367, пара не смогла под ним закрепиться и резко развернулась вверх на волну С. Ожидаю дальнейшее движение вверх до целей 0,9400-0,9420 с последующим разворотом вниз и заходом в зону МСФ. На старшем ТФ пока слабые сигналы ап-тренда, а по сути, имеем флет. Также цена дошла фактически до границы медвежьей трендовой, но не пробила её. На М15 есть новая бычья трендовая, новый защитный пивот 0,9362. АО выше нулевой отметки.
- Регистрация: 19.07.2014
- Сообщения: 117
- Поблагодарили: 5 раз
- Откуда: Украина
- Рефералы: 1
golova
Писатель
Писатель
AUD/USD
По паре AUDUSD на графике М15 за вчерашний торговый день и за утро сегодняшнего дня завершили пятиволновку вниз по розовой разметке индикатора волн до уровня поддержки на 0.9358 , образовав там 5 розовую. Там же образована и 4 по зеленой разметке. Сейчас идет построение пятой волны вверх от 4 до 5 по зеленой разметке с целями , это достижение уровня 0.9417 это медиана вил Эндрюса.
- Регистрация: 21.07.2014
- Сообщения: 150
- Поблагодарили: 1 раз
alexsandrkg
Писатель
Писатель
AUD/USD
По паре AUDUSD на часовом графике пока все без изменений пара продолжает постепенно укрепляться и до первой цели на уровне 0,9440 остаётся немного, далее вероятно будет коррекция вниз и тут можно поймать ее и купить еще, вероятно снижения к уровню 0,9380 максимум после чего пара пойдет к главной цели вверху на уровне 0,9520,пока такой вариант.
- Регистрация: 20.07.2014
- Сообщения: 1731
- Поблагодарили: 75 раз
- Рефералы: 4
Фастовец Николай
Гигант мысли
Гигант мысли
AUD/USD
Вчерашний пробой графической ценовой модели "клин" по валютной паре австралиец доллар отработался и цена отскочила от уровня поддержки 61% фибоначчи и продолжила рост, сформировав восходящий канал. После коррекции и на отскоке от линии поддержки канала + от уровней поддержки 50 или 38% фибоначчи, ждем рост к переписи максимума 0.9408. После пробоя этого максимума, вероятно, восходящее движение продолжится. Если пара пробивает линию поддержки канала, вероятно, коррекция продолжится к уровню поддержки 61 фибоначчи.


AUD/USD
По паре Австралийский доллар/Доллар ключевыми уровнями в масштабе Н1 являются: 0.9445, 0.9418, 0.9405, 0.9375, 0.9353 и 0.9329.
Здесь мы продолжаем следить за формированием восходящей структуры от 16 июля. Продолжения движения кверху ожидаем после прохода ценой шумового диапазона 0.9405 – 0.9418, в данном случае потенциальная цель – 0.9445, возле этого уровня консолидация цены. Краткосрочное нисходящее движение возможно в коридоре 0.9375 – 0.9353, пробой последнего значения будет располагать к развитию нисходящей структуры, здесь потенциальная цель – 0.9330.
Buy: 0.9420 Take profit: 0.9445
Sell: 0.9375 Take profit: 0.9356
Здесь мы продолжаем следить за формированием восходящей структуры от 16 июля. Продолжения движения кверху ожидаем после прохода ценой шумового диапазона 0.9405 – 0.9418, в данном случае потенциальная цель – 0.9445, возле этого уровня консолидация цены. Краткосрочное нисходящее движение возможно в коридоре 0.9375 – 0.9353, пробой последнего значения будет располагать к развитию нисходящей структуры, здесь потенциальная цель – 0.9330.
Buy: 0.9420 Take profit: 0.9445
Sell: 0.9375 Take profit: 0.9356
AUD/USD
Вот и достиг ауди с утра обозначенных целей вверху 0,9400-,9420. Отсюда уже считаю вполне реально начинать разворачиваться вниз хотя бы с заходом в зону утреннего флета. Но пака нет сигналов на разворот, так предпосылки, что это конечная остановка пары и вполне вероятен разворот вниз. На Н4 пробили медвежью трендовую. Но WPR показывает, что вверх идет коррекция, не импульс. Тем более, пара торгуется на исторических хаях. Точка разворота вниз - пивот 0,9387.
AUD/USD
Эта пара отрабатывает один из сценариев описанных вчера мною, сейчас она направляется на тест уровня сопротивления 1, в принципе покупки можно прикрыть, так как ночью будет новостной фон по паре, тем более что пара пока еще сохраняет нисходящий тренд. Теперь нужно дождаться теста выше указанного уровня если пара его проходит вверх тогда можно будет рассматривать покупки по паре.
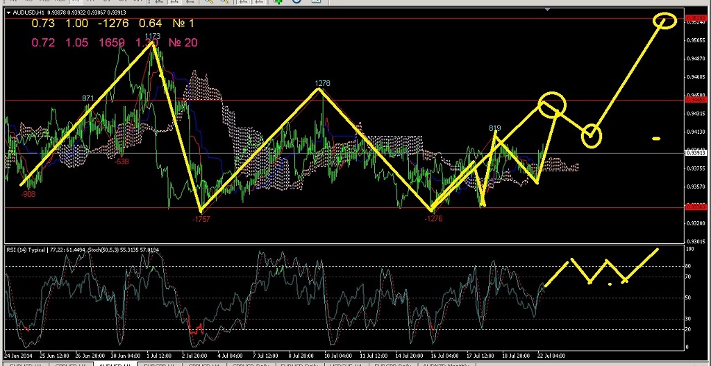
AUD/USD
На мой взгляд - глобально пара наоборот находится в положительном тренде. И сейчас вот таким макаром мы закрываем коррекцию второй положительной волны на недельном тайме. Сильным сопротивлением для нас оказался мувинг 0.9393 - сегодня мы опять уперлись в него, сил преодолеть - не хватает. И сейчас в создавшемся небольшом коридоре с вульфа на продажу на М360 - формируется вход на селл. Но - лишь в зону 0.9360 (максимум 0.9333). Привычный сценарий... На дневке - закрываем третью отрицательную волну (см скрин). Поэтому я бы из зоны 0.9360-0.9333 я бы поискала вход в покупку.umida0306 писал(а): тем более что пара пока еще сохраняет нисходящий тренд.